- 74 · Page 5
Categories
StartLineEdu
145
Clarinet
27
Coding
64
C++
24
Python
25
Scratch
15
Economics
10
Flute
7
Math
9
Music Theory
10
Physics
3
Piano
11
Trombone
3
0:01:06
How to play base c, d, e, f, g- Shaun Li
how to play base c, d, e, f, g
Show More
Show Less
Clarinet
StartLine Edu
Live
Upcoming Events
Suggested
Private Content
Most popular
0:06:36
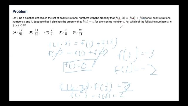
Math 2019 AMC 10A Problem 19 - Calvin Huang
StartLine Edu
0:02:57
Physics - Newton's Second Law Example
HD
StartLine Edu
0:04:01
Calvin Huang - Python Intro to Variables
HD
StartLine Edu
0:08:33
Math - 2021 AMC12A 12 By Calvin Huang
HD
StartLine Edu
0:04:23
Math - 2021 AMC12A #18 By Calvin Huang
HD
StartLine Edu
0:08:00
Calvin Huang - Python Intro to Numbers and Math
HD
StartLine Edu
0:07:01
Math - 2021 AMC12A #19 By Calvin Huang
StartLine Edu
0:01:49
C++ Cout P1 - Calvin Huang
HD
StartLine Edu
0:04:40
C++ Cout P2 - Calvin Huang
HD
StartLine Edu
0:02:59
C++ Cout P3- Calvin Huang
HD
StartLine Edu
0:03:48
C++ Variables- Calvin Huang
HD
StartLine Edu
0:02:01
C++ Declaring vs Initializing- Calvin Huang
HD
StartLine Edu
1
2
3
4
5
(current)
6
7
8
9
10
Piano
0:00:11
Piano - D Major Arpeggio
HD
StartLine Edu
0:00:11
Piano - C Major Arpeggio
HD
StartLine Edu
0:00:11
Piano - Bâ™ Major Arpeggio
StartLine Edu
0:00:12
Piano - Gâ™ Major Arpeggio
StartLine Edu
0:00:10
Bâ™ Minor Arpeggio
StartLine Edu
0:00:11
Bâ™ Major Arpeggio
StartLine Edu
0:00:12
Gâ™ Major Arpeggio
StartLine Edu
0:00:19
Teaching C Major Scale
HD
StartLine Edu
0:00:21
Teaching B â™ Major Scale
HD
StartLine Edu
0:00:25
Piano - Teaching Dâ™ Major Scale
HD
StartLine Edu
0:01:53
Piano G Flat Major Scale
FHD
StartLine Edu
Python
0:08:00
Calvin Huang - Python Intro to Numbers and Math
HD
StartLine Edu
0:04:01
Calvin Huang - Python Intro to Variables
HD
StartLine Edu
0:03:53
Python Exercises: Two Sum
HD
StartLine Edu
0:05:40
Python Exercises: Max SubArray
HD
StartLine Edu
0:05:42
Python Exercises: Longest Prefixes
HD
StartLine Edu
0:10:14
Python Exercises: Greatest Candies
HD
StartLine Edu
0:08:34
Python Exercises: Find Palindrome
HD
StartLine Edu
0:03:08
Python Exercises: Printing Stairs
HD
StartLine Edu
0:04:00
Python Exercises: Printing Smile
HD
StartLine Edu
0:10:25
Calvin Huang - Python Classes and Objects
HD
StartLine Edu
0:09:26
Calvin Huang - Python Functions
HD
StartLine Edu
0:12:59
Calvin Huang - Python Loops
StartLine Edu
StartLine Edu
0:08:00
Calvin Huang - Python Intro to Numbers and Math
HD
StartLine Edu
0:04:01
Calvin Huang - Python Intro to Variables
HD
StartLine Edu
0:03:53
Python Exercises: Two Sum
HD
StartLine Edu
0:05:40
Python Exercises: Max SubArray
HD
StartLine Edu
0:05:42
Python Exercises: Longest Prefixes
HD
StartLine Edu
0:10:14
Python Exercises: Greatest Candies
HD
StartLine Edu